Μπορεί η κοινωνία και η οικονομία να παραμένουν ανοιχτές, ωστόσο η επιδείνωση των επιδημιολογικών δεικτών δεν αφήνουν περιθώρια για εφησυχασμό, μετά και την αλματώδη αύξηση του αριθμού των διασωληνωμένων, που πλέον αγγίζουν τους 600 και θέτουν σε άμεσο κίνδυνο το υποστελεχωμένο Εθνικό Σύστημα Υγείας.
Κυβέρνηση και ειδικοί στρέφουν το βλέμμα τους στην πορεία της πανδημίας, με τη σκιά του lockdown πέφτει και πάλι βαριά πάνω από τη χώρα, αν και αρμόδια κυβερνητικά στελέχη αποκλείουν ένα τέτοιο ενδεχόμενο και μιλούν για πρόσθετα μέτρα εφόσον χρειαστεί μέχρι τις γιορτές.
Το ενδεχόμενο ενός γενικού lockdown απέκλεισε την Κυριακή 21/11 τόσο ο υπουργός Ανάπτυξης και Επενδύσεων, Άδ. Γεωργιάδης, όσο και ο Γενικός Γραμματέας Πρωτοβάθμιας Υγείας, Μάριος Θεμιστοκλέους, αφήνοντας ανοιχτό το ενδεχόμενο για διορθωτικές κινήσεις ή μέτρα μέχρι τις γιορτές.
Στο μεταξύ,αντίστροφα μετρά ο χρόνος για την εφαρμογή των νέων μέτρων για τους ανεμβολίαστους (από Δευτέρα 22/11), σε μια προσπάθεια να αναχαιτιστεί η διασπορά του ιού και με στόχο την προστασία όλων. Σημειώνεται ότι σε ΦΕΚ τα μέτρα δημοσιεύτηκαν το Σάββατο 20/11.
Με την πορεία της πανδημίας να σκιαγραφείται με μελανά χρώματα και τους ειδικούς συνεχώς να προειδοποιούν για έναν ακόμη δύσκολο χειμώνα, σταθεροποίηση των κρουσμάτων γύρω στις 5-10 Δεκέμβρη και ανάλογη εικόνα στις διασωληνώσεις και στους θανάτους 2-3 εβδομάδες μετά, προβλέπει ο καθηγητής Πνευμονολογίας του Πανεπιστημίου Κρήτης, Ν. Τζανάκης.
Γεωργιάδης:Τα μέτρα λαμβάνονται για να μείνει ανοιχτή η αγορά τα Χριστούγεννα – Όχι lockdown
«Τα μέτρα λαμβάνονται γιατί πρέπει να βάλουμε ένα φραγμό στην εξάπλωση της πανδημίας και να μην φτάσουμε στην κατάσταση που επικρατεί στην Β. Ευρώπη και να μείνει ανοιχτή η αγορά τα Χριστούγεννα», ανέφερε ο Υπουργός Ανάπτυξης και Επενδύσεων, Άδ. Γεωργιάδης, σχολιάζοντας το σκεπτικό της κυβέρνησης για τα μέτρα που τίθενται σε ισχύ τη Δευτέρα 22/11.
Ο κ. Γεωργιάδης μιλώντας στον ΣΚΑΪ υπογράμμισε ότι τα μέτρα δεν έχουν τιμωρητικό χαρακτήρα για τους ανεμβολίαστους πολίτες, αλλά και πως οι περιορισμοί που επιβλήθηκαν έχουν ως σκοπό την προστασία όλων.
«Οι ανεμβολίαστοι συμπολίτες μας κινδυνεύουν και θέλουμε να τους προστατέψουμε όχι να τους τιμωρήσουμε. Επειδή κινδυνεύει η υγεία τους συνακόλουθα κινδυνεύει και το ΕΣΥ με περισσότερες νοσηλείες.», είπε χαρακτηριστικά ο υπουργός.
Ακόμη, ο ίδιος απέκλεισε το ενδεχόμενο ενός νέου γενικού lockdown, ενώ άφησε ανοιχτό το ενδεχόμενο να ληφθούν επιπλέον μέτρα για τους ανεμβολίαστους, «στο βαθμό που μπορεί αυτοί να επιβαρύνουν το Εθνικό Σύστημα Υγείας».
Για το ΕΣΥ
Αναφορικά με την ενίσχυση του συστήματος υγείας, ο υπουργός Ανάπτυξης ανέφερε ότι από την εποχή διακυβέρνησης του ΣΥΡΙΖΑ έχουν υπερδιπλασιαστεί οι ΜΕΘ και «όσο και να θέλουμε, ακόμα και 1 δις. ευρώ να είχαμε, δεν μπορούμε να φτιάξουμε άλλες γιατί δεν έχουμε το προσωπικό να τις στελεχώσει».
Σημείωσε ότι «η Γερμανία με τις περισσότερες ΜΕΘ ανά 100 άτομα στον πλανήτη στέλνει ασθενείς σε γειτονικές χώρες του εξωτερικού γιατί δεν φτάνουν οι δικές της λόγω πίεσης στο σύστημα υγείας της. Άρα, όσες ΜΕΘ και να φτιάξεις, αν δεν σταματήσεις την πανδημία, δεν φτάνουν».
Θεμιστοκλέους: Δεν θα πάμε σε lockdown – Πιθανές διορθωτικές κινήσεις ή μέτρα μέχρι τις γιορτές - Διαχειρίσιμη η κατάσταση στο ΕΣΥ
«Δεν θα πάμε σε lockdown», ξεκαθάρισε ο Γενικός Γραμματέας Πρωτοβάθμιας Υγείας, Μάριος Θεμιστοκλέους, αφήνοντας ανοιχτό το ενδεχόμενο για διορθωτικές κινήσεις ή μέτρα μέχρι τις γιορτές.
Υπενθυμίζεται ότι ο κ. Θεμιστοκλέους το Σάββατο 20/11 δήλωσε ότι «η πρόθεση της κυβέρνησης είναι να μην γίνει lockdown, γιατί έχει και αυτό τις δικές του παρενέργειες».
«Διορθωτικές κινήσεις ή μέτρα μέχρι τις γιορτές, χωρίς να συζητάμε για lockdown, μπορεί να υπάρξουν. Αλλά δεν θα υπάρξουν γενικευμένα μέτρα lockdown. Η πανδημία είναι εδώ και δε θα φύγει με μαγικό τρόπο. Η μάσκα είναι υποχρεωτική στους κλειστούς χώρους και όπου εξωτερικά υπάρχει συνωστισμός», τόνισε την Κυριακή 21/11 μιλώντας στο Mega ο κ. Θεμιστοκλέους.
Σημείωσε ότι «ο καλύτερος τρόπος για να ισχυροποιήσουμε τη θέση μας απέναντι στην πανδημία είναι να εμβολιαστούμε» , αλλά και πως «έχουμε μια πίεση στο σύστημα υγείας που μέχρι στιγμής είναι διαχειρίσιμη»
Όπως εξήγησε, «οι δείκτες που μας ανησυχούν περισσότερο είναι οι νοσηλείες και οι ΜΕΘ στα νοσοκομεία. Παρακολουθούμε την κατάσταση, ενισχύεται το ΕΣΥ, ενισχύεται και από τον ιδιωτικό τομέα με την επίταξη υπηρεσιών.
Δεν είναι εύκολη η κατάσταση αλλά είναι διαχειρίσιμη».
Πρόσθεσε ότι «μας απασχολεί και ο δείκτης των θανάτων, φυσικά. Ο τρόπος για να αντιμετωπιστεί αυτό είναι ο εμβολιασμός και εκεί θα πρέπει να εστιάσουμε. Φυσικά οι θάνατοι μας στεναχωρούν».
Δεν εξετάζεται περαιτέρω η υποχρεωτικότητα εμβολιασμού
«Η υποχρεωτικότητα εμβολιασμού για συγκεκριμένες επαγγελματικές ομάδες, ή ηλικιακές, δεν εξετάζονται αυτή τη στιγμή», ξεκαθάρισε ο κ. Θεμιστοκλέους.
Ανέφερε ότι «αυτή τη στιγμή το πιστοποιητικό εμβολιασμού ισχύει για όσους δεν ανήκουν στις ομάδες που ανακοινώσαμε για την τρίτη δόση. Για τα άτομα στις ηλικίες που προχωράμε με την 3η δόση, υπήρχε ισχυρή σύσταση».
Όπως είπε, θα υπάρξουν διευκρινιστικές οδηγίες σε ό,τι αφορά στη νόσηση και την αναμνηστική δόση.
Καμία αλλαγή στον τρόπο που πηγαίνουμε σούπερ μάρκετ
«Σε σχέση με το σούπερ μάρκετ, είναι ποινικό το αδίκημα, έχει και 5.000 πρόστιμο. Όσοι το διέπραξαν, διέπραξαν ποινικό αδίκημα με βαριές ποινές. Τα σούπερ μάρκετ είναι ξεχωριστή κατηγορία, επειδή αφορά σε είδη πρώτης ανάγκης. Είναι ελάχιστες οι δραστηριότητες στις οποίες μπορεί κάποιος να κινείται χωρίς τεστ. Δε είναι πιθανό να αλλάξει αυτή τη στιγμή ο τρόπος που πηγαίνουμε σούπερ μάρκετ, γιατί εξυπηρετεί πρώτες ανάγκες», υπογράμμισε ο κ. Θεμιστοκλέους, με αφορμή καταγγελία για σούπερ μάρκετ στη Λαμία όπου κάποιος παραβίασε την καραντίνα και πήγε στο κατάστημα.
Όπως ανέφερε ο δικηγόρος Γιάννης Μαρακάκης, «από τους επικεφαλής του αντιεμβολιαστικού κινήματος, κάποιοι έχουν επιφυλάξεις για τα αποτελέσματα του εμβολίου, αλλά υπάρχουν και κάποιοι που δεν πιστεύουν στον ιό. Έγινε καταγγελία για σούπερ μάρκετ στη Λαμία όπου κάποιος παραβίασε την καραντίνα και πήγε στο κατάστημα. Ζήτησαν να περάσει έξω από την πίσω έξοδο χωρίς να τον κατονομάσουν, και βγήκαν 9. Οι περισσότεροι από αυτούς τους ανθρώπους έχουν και έντονα αντικοινωνική συμπεριφορά. Αφού δεν έχουμε σκληρή πολιτική από την κυβέρνηση για τις συνέπειες του μη εμβολιασμού, είμαστε σε αναμονή. Αν δεν —υπάρχουν συνέπειες, θα συνεχίσουν να το κάνουν».
Δεν έχει αποφασιστεί αν θα κάνουμε κάθε χρόνο το εμβόλιο
«Δεν τίθεται θέμα για την προστασία που δίνει το εμβόλιο. Δισεκατομμύρια έχουν εμβολιαστεί και έχουν προστατευθεί από το εμβόλιο. Από αυτούς που δεν έχουν εμβολιαστεί, είναι μια σκληρή ομάδα που δεν θα πειστεί και αυτοί που φοβούνται. Στους δεύτερους απευθυνόμαστε», ανέφερε ο κ. Θεμιστοκλέους.
Όπως ο ίδιο τόνισε, «δεν έχει αποφασιστεί αν θα κάνουμε κάθε χρόνο το εμβόλιο, πιστεύω ότι μέχρι την επόμενη άνοιξη θα έχουμε αυτή την πληροφορία».
Σημειώνεται ότι ο διευθυντής του Μικροβιολογικού στο ΑΤΤΙΚΟΝ, και αντιπρόεδρος της Επιτροπής Λοιμώξεων, Σπύρος Πουρνάρας, ανέφερε πως «η εφημερία ήταν πιεσμένη, έχουμε κάθε μέρα περισσότερους ασθενείς με κορωνοϊό να εισάγονται. Αντέχει ακόμα το σύστημα, αλλά υπάρχει επιβάρυνση. Οι περισσότεροι είναι ανεμβολίαστοι, όπως και σε όλη την Ελλάδα. Οι μη εμβολιασμένοι πεθαίνουν κατά πολύ περισσότερο, η αναλογία είναι 95 με 5, σε σχέση με τους εμβολιασμένους».
Τζανάκης: Σταθεροποίηση κρουσμάτων γύρω στις 5-10 Δεκεμβρίου – Ανάλογη εικόνα σε διασωληνώσεις και θανάτους μετά από 2-3 εβδομάδες
«Η σταθεροποίηση στα κρούσματα, καλώς εχόντων των πραγμάτων, θα έρθει γύρω στις 5-10 Δεκέμβρη και 2-3 εβδομάδες μετά θα έρθει η ανάλογη εικόνα στις διασωληνώσεις και στους θανάτους», εκτίμησε ο καθηγητής Πνευμονολογίας του Πανεπιστημίου Κρήτης, Ν. Τζανάκης.
Ο κ. Τζανάκης μιλώντας στον ΑΝΤ1 αναφέρθηκε στην θνητότητα σε σχέση και με τα κρούσματα στο δεύτερο, στο τρίτο και στο τέταρτο κύμα της πανδημίας και μέσα από ένα διάγραμμα με στοιχεία και αντιπαραβολή των κρουσμάτων και των θανάτων, εξήγησε στις κορυφώσεις τους, στο δεύτερο κύμα ημερησίως ο μέσος όρος θανάτων ήταν 46 ασθενεί, στο τρίτο κύμα ήταν 53 ασθενείς και στο τέταρτο κύμα είναι 30.
«Έχουμε 3.000 θανάτους στο τέταρτο κύμα της πανδημίας, παρότι η μετάλλαξη Δέλτα είναι πολύ πιο μεταδοτική. Αυτό οφείλεται στο ότι έχουμε το εμβόλιο και την προστασία του», εξήγησε ο κ. Τζανάκης.
Για τα κρούσματα
Ανέφερε δε, πως μεγάλο μέρος των κρουσμάτων αφορά παιδιά και πληθυσμό νεαρής ηλικίας, που νοσεί πιο ελαφρά σε σχέση με τους μεγαλύτερης ηλικίας ασθενείς.
Σημείωσε μάλιστα ότι «η διαφοροποίηση με τις άλλες χώρες έχει να κάνει με τον εμβολιασμό των πολιτών τους, στην ηλικιακή ομάδα των οποίων υπάρχει αυξημένη θνητότητα», τονίζοντας ότι στην Ελλάδα «οι άνω των 60 ετών, δίνουν το 86% των θανάτων».
Δημόπουλος για τρίτη δόση: Η πιθανότητα μόλυνσης μειώνεται κατά 95% - Κανένας θάνατος, σύμφωνα με μελέτη
Μειώνεται κατά 95% η πιθανότητα μόλυνσης από κορωνοϊό μετά την τρίτη δόση εμβολίου, σύμφωνα με τα στοιχεία μελέτης της Pfizer, όπως ανέφερε ο πρύτανης του ΕΚΠΑ, Θ. Δημόπουλος.
Πρόκειται για μελέτη η οποία συμπεριλαμβάνει 10.000 άτομα που είχαν λάβει τη δεύτερη δόση και τυχαιοποιήθηκαν είτε να λάβουν την τρίτη δόση ή να μην κάνουν το εμβόλιο.
Για όσους έκανα την τρίτη δόση, σύμφωνα με όσα ανέφερε ο κ. Δημόπουλος μιλώντας στον ΣΚΑΪ , μειώθηκε η πιθανότητα μόλυνσης κατά 95%, ενώ δεν σημειώθηκε κανένας θάνατος. «Δηλαδή 6 άτομα στα 5 χιλιάδες που έκαναν το εμβόλιο μολύνθηκαν και νόσησαν ελαφρά, σε σχέση με 123 άτομα από αυτά που δεν έκαναν την τρίτη δόση», τόνισε ο κ. Δημόπουλος.
Όπως είπε, «η σύσταση είναι η τρίτη δόση να γίνει το συντομότερο δυνατό μετά το άνοιγμα της πλατφόρμας».
Εξήγησε ότι η ανοσιακή απόκριση απέναντι στον ιό μετά την τρίτη δόση είναι πολύ μεγαλύτερη σε αναλογία με την προστασία που προσφέρουν οι δυο δόσεις, ενώ έκανε λόγο για μικρό φόβο εμφάνισης μυοκαρδίτιδας-περικαρδίτιδας που παρουσιάζεται συνήθως σε ενήλικες άνδρες μετά τον εμβολιασμό, σημειώνοντας ότι η περίπτωση αυτή όπως έδειξε πρόσφατη έρευνα , αφορά μόλις 2 περιστατικά ανά 1 εκατ. δόσεις.
Lockdown για ανεμβολίαστους από 22/11
Με στόχο την αντιμετώπιση της διασποράς του κορωνοϊού θεσπίζονται έκτακτα μέτρα προστασίας της δημόσιας υγείας. Στις 20/11 δημοσιεύτηκε το ΦΕΚ η απόφαση με τα «Έκτακτα μέτρα προστασίας της δημόσιας υγείας από τον κίνδυνο περαιτέρω διασποράς του κορωνοϊού COVID-19 στο σύνολο της Επικράτειας, για το διάστημα από τη Δευτέρα, 22 Νοεμβρίου 2021 και ώρα 06:00 έως και τη Δευτέρα, 6 Δεκεμβρίου 2021 και ώρα 06:00».
Αυστηρό είναι το πλαίσιο για τους ανεμβολίαστους κατά του covid-19.
Το πρώτα μέτρα προστασίας είναι η χρήση προστατευτικής μάσκας σε όλους τους εσωτερικούς χώρους, συμπεριλαμβανομένων και των χώρων εργασίας και σε όλους τους εξωτερικούς χώρους όπου παρατηρείται συνωστισμός.
Τήρηση αποστάσεων ενάμισι μέτρου μεταξύ των ατόμων (ένα άτομο ανά 2 τ.μ.) σε εσωτερικούς και εξωτερικούς χώρους, είτε αμιγείς για πλήρως εμβολιασμένους και νοσήσαντες κατά το τελευταίο εξάμηνο είτε μικτούς.
Στην απόφαση σχετικά με το ωράριο λειτουργίας του λιανεμπορίου αναφέρεται ότι «στην Περιφέρεια Αττικής, πλην της Περιφερειακής Ενότητας Νήσων, στην Περιφερειακή Ενότητα Θεσσαλονίκης, καθώς και στους Δήμους Πατρέων, Ηρακλείου Κρήτης, Λάρισας, Βόλου, Ιωαννιτών, Τρικκαίων, Χαλκίδας, Σερρών, Αλεξανδρούπολης, Ξάνθης, Κατερίνης, Αγρινίου, Καλαμάτας, Καβάλας, Χανίων, Λαμίας, Κομοτηνής, Ρόδου, Δράμας, Βέροιας και Κοζάνης, για τις ημέρες Δευτέρα έως Παρασκευή έναρξη λειτουργίας στις 10:00 και δυνατότητα διευρυμένου ωραρίου έως τις 21:00».
Το μέτρο αυτό δεν αφορά στα supermarkets, τα καταστήματα αγοράς τροφίμων (όπως κρεοπωλεία, ιχθυοπωλεία, φούρνοι, ζαχαροπλαστεία και κάβες) και τα φαρμακεία.
Επιπλέον, σύμφωνα με το ΦΕΚ, συνεχίζεται η δια ζώσης εκπαιδευτική λειτουργία όλων των σχολικών μονάδων πρωτοβάθμιας, δευτεροβάθμιας και ειδικής αγωγής και εκπαίδευσης (νηπιαγωγείων, δημοτικών, ολοήμερων σχολείων, γυμνασίων και λυκείων γενικής και επαγγελματικής εκπαίδευσης) με τα μέτρα που ήδη ισχύουν, ενώ εξακολουθεί να ισχύει η διά ζώσης λειτουργία των φροντιστηρίων και των κέντρων ξένων γλωσσών.
Συγκεκριμένα, από τη Δευτέρα 22/11:
-Στις αγορές τροφίμων (σούπερ μάρκετ, κρεοπωλεία, ιχθυοπωλεία, φούρνοι, λαϊκές και ζαχαροπλαστεία), στα φαρμακεία και τα ΜΜΜ για τις αστικές μετακινήσεις, είναι απαραίτητη η χρήση μάσκας και δεν απαιτείται έλεγχος covid pass. Μπορούν δηλαδή να έχουν πρόσβαση εμβολιασμένοι, νοσήσαντες και ανεμβολίαστοι.
-Στα ΜΜΜ για τις υπεραστικές μετακινήσεις, στην εκπαίδευση, στους χώρους εργασίας (δημόσιους και ιδιωτικούς), στους χώρους λατρείας, στο λιανεμπόριο στα κομμωτήρια και στους ανοικτούς χώρους εστίασης είναι απαραίτητη η χρήση μάσκας και θα γίνεται έλεγχος covid pass. Άρα πρόσβαση έχουν οι εμβολιασμένοι, οι νοσήσαντες και οι ανεμβολίαστοι με αρνητικό PCR -RAPID test.
-Στους κλειστούς χώρους εστίασης, στα θέατρα και τους κινηματογράφους, στα μουσεία, τα γυμναστήρια και τα γήπεδα είναι απαραίτητη η χρήση μάσκας και θα έχουν πρόσβαση μόνο εμβολιασμένοι και νοσήσαντες.
Επίσης υπενθυμίζεται ότι από τις 13/12 αναγκαία προϋπόθεση εισόδου για τους άνω των 60 ετών εμβολιασμένους πολίτες θα είναι η αναμνηστική δόση μετά την παρέλευση 7μήνου από την ολοκλήρωση του εμβολιασμού.
-Για τους ανήλικους 4-17 ετών επιτρέπεται η είσοδος στους ανοικτούς χώρους εστίασης, στους κλειστούς χώρους εστίασης, στα θέατρα και τους κινηματογράφους, στα μουσεία, τα γυμναστήρια και τα γήπεδα με επίδειξη self test εντός των τελευταίων 24 ωρών αντίστοιχα πριν από την παρουσία τους στο χώρο. Τα παιδιά ηλικίας μέχρι 4 ετών έχουν δυνατότητα πρόσβασης χωρίς έλεγχο.
Δημόσιες υπηρεσίες
Ο αριθμός των εργαζομένων με τηλεργασία καθορίζεται με βάση τη φύση των καθηκόντων των εργαζομένων και τις ανάγκες κάθε υπηρεσίας και η προσέλευση των εργαζομένων πραγματοποιείται σταδιακά, σύμφωνα με τις υπηρεσιακές ανάγκες και τις οδηγίες του αρμόδιου Προϊσταμένου.
Η εξυπηρέτηση του κοινού γίνεται κατά προτίμηση, αλλά όχι αποκλειστικά, κατόπιν προγραμματισμένου ραντεβού. Το κοινό εισέρχεται κατόπιν υποχρεωτικής επίδειξης κατά την είσοδο πιστοποιητικού εμβολιασμού ή πιστοποιητικού νόσησης ή βεβαίωσης αρνητικού διαγνωστικού ελέγχου για κορονοϊό (PCR ή rapid test). Οι ανήλικοι από τεσσάρων έως και 17 ετών δύνανται να προσκομίζουν, εναλλακτικά δήλωση αρνητικού αυτοδιαγνωστικού ελέγχου (self-test). Εξαιρούνται από την εφαρμογή του παρόντος σημείου απολύτως κατεπείγουσες περιπτώσεις, ιδίως πρόσβασης σε αστυνομικά τμήματα, που δεν επιδέχονται αναβολής.
Οι συνεδριάσεις των συλλογικών οργάνων και οι συναντήσεις εργασίας πραγματοποιούνται, μέσω τηλεδιάσκεψης ή μέσω φυσικής παρουσίας με τη συμμετοχή έως επτά ατόμων.
Ιδιωτικές επιχειρήσεις
Λειτουργία με το αναγκαίο προσωπικό, εξυπηρέτηση κοινού μόνο σε επείγουσες περιπτώσεις και κατόπιν ραντεβού, εξαιρουμένων των τραπεζών και των περιπτώσεων στις οποίες δεν δύναται να προγραμματισθεί ραντεβού [επιχειρήσεις ταχυμεταφορών, ελληνικών ταχυδρομείων (ΕΛΤΑ), ΔΕΗ, ΕΥΔΑΠ κ.λπ.]. Ειδικώς ως προς τις τράπεζες, το κοινό εισέρχεται κατόπιν υποχρεωτικής επίδειξης κατά την είσοδο, πιστοποιητικού εμβολιασμού ή πιστοποιητικού νόσησης ή βεβαίωσης αρνητικού διαγνωστικού ελέγχου για κορονοϊό (PCR ή rapid test). Οι ανήλικοι από τεσσάρων έως και 17 ετών δύνανται να προσκομίζουν, εναλλακτικά, δήλωση αρνητικού αυτοδιαγνωστικού ελέγχου (self-test).
Δικαστήρια, εισαγγελίες, έμμισθα, άμισθα υποθηκοφυλακεία, κτηματολογικά γραφεία και υποκαταστήματα του φορέα "Ελληνικό Κτηματολόγιο"
Κατά την είσοδο οι πολίτες υποχρεούνται να επιδεικνύουν, πιστοποιητικό εμβολιασμού ή πιστοποιητικού νόσησης ή βεβαίωσης αρνητικού διαγνωστικού ελέγχου για κορονοϊό (PCR ή rapid test). Οι ανήλικοι από τεσσάρων έως και 17 ετών δύνανται να προσκομίζουν, εναλλακτικά, δήλωση αρνητικού αυτοδιαγνωστικού ελέγχου (self-test).
Στα δικαστήρια, στις εισαγγελίες και στα στρατιωτικά δικαστήρια επιτρέπεται μέχρι 15 άτομα στην αίθουσα.
Νοσοκομεία, κλινικές, ιατρεία, διαγνωστικά κέντρα και κέντρα αποκατάστασης
Για το προσωπικό που έχει τεθεί σε αναστολή άσκησης των καθηκόντων του και κατά τη διάρκεια του χρονικού διαστήματος αυτού νόσησε από Covid-19 ισχύουν τα εξής:
Ο εργαστηριακός μοριακός έλεγχος (PCR) του συμπτωματικού εργαζόμενου γίνεται σε δημόσια δομή. Σε περίπτωση που ο πρώτος εργαστηριακός έλεγχος έχει γίνει σε ιδιωτική δομή επιβεβαιώνεται εντός εικοσιτετραώρου σε δημόσια δομή υγείας. Δεν επιτρέπεται η προσκόμιση εκ των προτέρων ληφθέντος δείγματος και η δειγματοληψία διενεργείται εντός της δημόσιας δομής με παρουσία περισσότερων του ενός ατόμων με αρμοδιότητα δειγματοληψίας.
Ένας συνοδός/επισκέπτης ανά ασθενή. Οι πλήρως εμβολιασμένοι και οι νοσήσαντες το τελευταίο εξάμηνο συνοδοί ασθενών δεν υπόκεινται σε εργαστηριακό έλεγχο πριν την είσοδό τους σε δημόσια ή ιδιωτική δομή παροχής υπηρεσιών πρωτοβάθμιας φροντίδας υγείας περιλαμβανομένων και των δημόσιων και ιδιωτικών ιατρείων.
Οι μη εμβολιασμένοι ή μη νοσήσαντες συνοδοί ασθενών, υπόκεινται σε εργαστηριακό έλεγχο (PCR ή rapid test) εντός 48 ωρών πριν την είσοδό τους σε δημόσια ή ιδιωτική δομή παροχής υπηρεσιών πρωτοβάθμιας φροντίδας υγείας περιλαμβανομένων και των δημόσιων και ιδιωτικών ιατρείων.
Οι πλήρως εμβολιασμένοι ή νοσήσαντες το τελευταίο εξάμηνο συνοδοί νοσηλευόμενων ασθενών υπόκεινται σε εργαστηριακό έλεγχο (PCR ή rapid test) εντός 48 ωρών πριν την είσοδό τους σε κάθε άλλη δημόσια ή ιδιωτική δομή υγείας.
Οι μη εμβολιασμένοι ή μη νοσήσαντες συνοδοί νοσηλευόμενων ασθενών υπόκεινται σε εργαστηριακό έλεγχο για COVID-19 με τη μέθοδο PCR εντός 48 ωρών πριν την είσοδό τους σε κάθε άλλη δημόσια ή ιδιωτική δομή υγείας.
Στις ανωτέρω περιπτώσεις, τα αποτελέσματα των εργαστηριακών ελέγχων επιβεβαιώνονται μέσω της ειδικής εφαρμογής Covid Free GR. Από τις ανωτέρω υποχρεώσεις εξαιρούνται οι συνοδοί ασθενών που προσέρχονται σε
Τμήμα Επειγόντων Περιστατικών.
Ασθενείς που προσέρχονται σε δημόσια ή ιδιωτική δομή υγείας για εξέταση δεν υπόκεινται σε εργαστηριακό έλεγχο για COVID-19.
Ασθενείς που προσέρχονται σε δημόσια ή ιδιωτική δομή υγείας για επεμβατική εξέταση ή για εξέταση που ενδέχεται να προκαλέσει αερόλυμα υπόκεινται σε εργαστηριακό έλεγχο (PCR ή rapid test)
Από τις ανωτέρω υποχρεώσεις εξαιρούνται ασθενείς που προσέρχονται σε δημόσια ή ιδιωτική δομή υγείας για την αντιμετώπιση εκτάκτων περιστατικών.
Αρχαιολογικοί χώροι, μουσεία, κλειστά μνημεία και χώροι διεξαγωγής εικαστικών και λοιπών καλλιτεχνικών εκθέσεων, κινηματογραφικές προβολές, ζωντανά θεάματα και ακροάματα, λοιπές παραστατικές τέχνες
Δυνατότητα λειτουργίας μόνο για πρόσωπα που έχουν εμβολιασθεί ή νοσήσει κατά το τελευταίο εξάμηνο, Οι επισκέπτες εισέρχονται κατόπιν υποχρεωτικής επίδειξης κατά την είσοδο, πιστοποιητικού εμβολιασμού, ή πιστοποιητικού νόσησης. Οι ανήλικοι από τεσσάρων έως και 17 ετών δύνανται να προσκομίζουν, εναλλακτικά, δήλωση αρνητικού αυτοδιαγνωστικού ελέγχου (self-test).
Επιτρέπονται οι ομαδικές ξεναγήσεις με τη χρήση μάσκας και την τήρηση αποστάσεων.
Κέντρα διασκέδασης συμπεριλαμβανομένων κλειστών χώρων δεξιώσεων, μουσικών σκηνών και μπουάτ
Λειτουργία αποκλειστικά για πλήρως εμβολιασμένους ή νοσήσαντες το τελευταίο εξάμηνο. Ποσοστό πληρότητας 100%.
Υποχρεωτική επίδειξη κατά την είσοδο των πελατών, πιστοποιητικού εμβολιασμού, ή πιστοποιητικού νόσησης.
Υποχρεωτική χρήση μάσκας από το προσωπικό
Εστίαση (π.χ. εστιατόρια, καφέ,ίντερνετ καφέ, κυλικεία, αναψυκτήρια, καντίνες, catering, εξωτερικοί χώροι δεξιώσεων)
Οι πελάτες εισέρχονται κατόπιν υποχρεωτικής επίδειξης κατά την είσοδο πιστοποιητικού εμβολιασμού ή πιστοποιητικού νόσησης. Οι ανήλικοι από τεσσάρων έως 17 ετών δύνανται να προσκομίζουν, εναλλακτικά, δήλωση αρνητικού αυτοδιαγνωστικού ελέγχου (self-test).
Λειτουργία των επιχειρήσεων, σε ανοικτό υπαίθριο χώρο. Μέχρι 10 άτομα ανά τραπέζι και οι πελάτες εισέρχονται κατόπιν υποχρεωτικής επίδειξης κατά την είσοδο πιστοποιητικού εμβολιασμού ή πιστοποιητικού νόσησης ή βεβαίωσης αρνητικού διαγνωστικού ελέγχου για κορονοϊό (PCR ή rapid test).
Οι ανήλικοι από τεσσάρων έως 17 ετών δύνανται να προσκομίζουν, εναλλακτικά, δήλωση αρνητικού αυτοδιαγνωστικού ελέγχου (self-test).
Παιδότοποι
Λειτουργία παιδότοπων σε υπαίθριο χώρο. Ένα παιδί ανά 5 τ.μ. Είσοδος ανηλίκων από τεσσάρων έως και 17 ετών με αρνητικό αυτοδιαγνωστικό έλεγχο (self-test).
Οι ενήλικοι εισέρχονται κατόπιν υποχρεωτικής επίδειξης κατά την είσοδο πιστοποιητικού εμβολιασμού ή πιστοποιητικού νόσησης ή βεβαίωσης αρνητικού διαγνωστικού ελέγχου για κορονοϊό (PCR ή rapid test).
Δεν επιτρέπεται η είσοδος σε ανεμβολία στους συνοδούς σε παιδότοπους σε εσωτερικό χώρο.
Χώροι Λατρείας
Οι θρησκευτικοί λειτουργοί και οι ιεροψάλτες εξαιρούνται από την υποχρεωτική χρήση μάσκας αποκλειστικά και μόνο κατά τη διάρκεια της θρησκευτικής τελετής.
Τα πρόσωπα εισέρχονται προς τον σκοπό συμμετοχής σε κάθε είδους θρησκευτική τελετή κατόπιν υποχρεωτικής επίδειξης κατά την είσοδο πιστοποιητικού εμβολιασμού ή πιστοποιητικού νόσησης, ή βεβαίωσης αρνητικού διαγνωστικού ελέγχου για κορονοϊό (PCR ή rapid test). Οι ανήλικοι από 4 έως και 17 ετών δύνανται να προσκομίζουν, εναλλακτικά, δήλωση αρνητικού αυτοδιαγνωστικού ελέγχου (self-test).
Στις επιχειρήσεις λιανεμπορίου και κομμωτήρια οι πελάτες εισέρχονται με την επίδειξη πιστοποιητικού εμβολιασμού, ή πιστοποιητικού νόσησης, ή βεβαίωσης αρνητικού διαγνωστικού ελέγχου για κορονοϊό COVID-19 (PCR ή rapid test). Οι ανήλικοι 4-17 ετών με αρνητικό αυτοδιαγνωστικό έλεγχο (self-test).
Η απόφαση περιλαμβάνει ακόμη τα μέτρα προστασίας που αφορούν σχολεία και πανεπιστήμια, μέσα μαζικής μεταφοράς, γυμναστήρια κ.ά
ΕΟΔΥ: 5.991 κρούσματα και ακόμα 69 νεκροί στις 20/11
Σε αδιέξοδο έχει περιέλθει το ΕΣΥ από την άνοδο των διασωληνωμένων στους 594, την ώρα που ακόμη 69 συμπολίτες μας έχασαν τη μάχη με τον κορωνοϊό, ενώ 5.991 νέοι βρέθηκαν θετικοί, σύμφωνα με την τα στοιχεία του ΕΟΔΥ για το τελευταίο 24ωρο.
Η ανακοίνωση του ΕΟΔΥ έχει ως εξής:
Ο ΕΟΔΥ ανακοίνωσε ότι τα νέα εργαστηριακά επιβεβαιωμένα κρούσματα κορωνοϊού που καταγράφηκαν τις τελευταίες 24 ώρες είναι 5.991, εκ των οποίων 4 εντοπίστηκαν κατόπιν ελέγχων στις πύλες εισόδου της χώρας.
Ο συνολικός αριθμός των κρουσμάτων ανέρχεται σε 874.812 (ημερήσια μεταβολή +0.7%), εκ των οποίων 50.6% άνδρες.
Με βάση τα επιβεβαιωμένα κρούσματα των τελευταίων 7 ημερών, 108 θεωρούνται σχετιζόμενα με ταξίδι από το εξωτερικό και 3.239 είναι σχετιζόμενα με ήδη γνωστό κρούσμα.
Οι νέοι θάνατοι ασθενών με COVID-19 είναι 69, ενώ από την έναρξη της επιδημίας έχουν καταγραφεί συνολικά 17.237 θάνατοι.
Το 95.3% είχε υποκείμενο νόσημα ή/και ηλικία 70 ετών και άνω.
Ο αριθμός των ασθενών που νοσηλεύονται διασωληνωμένοι είναι 594 (60.8% άνδρες).
Η διάμεση ηλικία τους είναι 65 έτη. 
To 84.2% έχει υποκείμενο νόσημα ή/και ηλικία 70 ετών και άνω.
Μεταξύ των ασθενών που νοσηλεύονται διασωληνωμένοι, 493 (83%) είναι ανεμβολίαστοι ή μερικώς εμβολιασμένοι και 101 (17%) είναι πλήρως εμβολιασμένοι.
Από την αρχή της πανδημίας έχουν εξέλθει από τις ΜΕΘ 3.437 ασθενείς.
Οι εισαγωγές νέων ασθενών Covid-19 στα νοσοκομεία της επικράτειας είναι 452 (ημερήσια μεταβολή -7.38%).
Ο μέσος όρος εισαγωγών του επταημέρου είναι 438 ασθενείς.
Η διάμεση ηλικία των κρουσμάτων είναι 38 έτη (εύρος 0.2 έως 106 έτη), ενώ η διάμεση ηλικία των θανόντων είναι 78 έτη (εύρος 0.2 έως 106 έτη).
Δείγματα που έχουν ελεγχθεί:
Από την 1η Ιανουαρίου 2020 μέχρι σήμερα, στα εργαστήρια που διενεργούν ελέγχους για τον νέο κορωνοϊό (SARS-CoV-2) και που δηλώνουν συστηματικά το σύνολο των δειγμάτων που ελέγχουν, έχουν συνολικά ελεγχθεί 7.328.695 κλινικά δείγματα ενώ από Μονάδες Υγείας και Κλιμάκια του ΕΟΔΥ που διενεργούν ελέγχους Rapid Ag έχουν ελεγχθεί 25.443.744 δείγματα.
O μέσος όρος του επταημέρου είναι 376.084 δειγματοληπτικοί έλεγχοι.
Αυτοδιαγνωστικοί έλεγχοι (Self-tests):
Έως 19 Νοεμβρίου 2021, έχουν καταγραφεί ηλεκτρονικά 54.141.696 δηλώσεις αποτελέσματος αυτοδιαγνωστικού ελέγχου, ενώ 3.130.936 άτομα προσήλθαν για επανέλεγχο.
Mαζικές Δειγματοληψίες ΕΟΔΥ:
Στις 19 Νοεμβρίου 2021, πραγματοποιήθηκαν 173 δράσεις δειγματοληπτικών ελέγχων από τις Κινητές Ομάδες Υγείας (ΚΟΜΥ) του ΕΟΔΥ, στις οποίες διενεργήθηκαν 32.075 έλεγχοι Rapid Ag και ανευρέθηκαν 1.005 θετικά (3,13%).

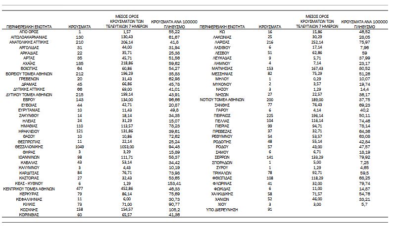
Πρώτη η Αττική με 1.632 κρούσματα, 1.049 μολύνσεις στη Θεσσαλονίκη
Από τα 5.991 κρούσματα Covid, που ανακοίνωσε ο ΕΟΔΥ στις 20/11, τα 1.632 καταγράφονται στην Αττική.
Σε υψηλό επίπεδο παραμένουν οι μολύνσεις στη Θεσσαλονίκη με 1.049 νέες.
Ακολουθούν η Λάρισα με 216, η Αχαΐα με 185 και η Μαγνησία με 153.
Αναλυτικότερα τα κρούσματα στις περιφέρειες της Αττικής:
Ανατολική Αττική: 210 κρούσματα
Βόρειος Τομέας Αθηνών: 212 κρούσματα
Δυτική Αττική: 66 κρούσματα
Δυτικός Τομέας Αθηνών: 215 κρούσματα
Κεντρικός Τομέας Αθηνών: 477 κρούσματα
Nήσων: 27 κρούσματα
Νότιος Τομέας Αθηνών: 200 κρούσματα
Πειραιώς: 225 κρούσματα
Τα κρούσματα σε ολόκληρη την Ελλάδα:
Σχόλια αναγνωστών