Τελευταία Νέα
Απόψεις - Άρθρα

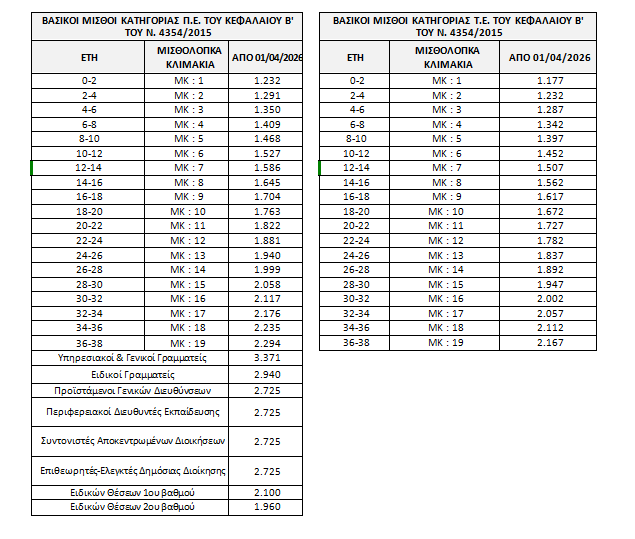
Ο «χάρτης» με τους νέους μισθούς σε Δημόσιο, ΟΤΑ και ένστολους με αυξήσεις έως 9,2% - Αναλυτικοί πίνακες

Ο «χάρτης» με τους νέους μισθούς σε Δημόσιο, ΟΤΑ και ένστολους με αυξήσεις έως 9,2% - Αναλυτικοί πίνακες
Πώς διαμορφώνονται τα ανώτατα κλιμάκια αμοιβών και η πρόσθετη εργασία
Αυξήσεις που φτάνουν μέχρι 9,2% δίνει στους δημοσίους υπαλλήλους, στους ΟΤΑ και στους ένστολους ο συνδυασμός της οριζόντιας αύξησης κατά 4,55% (ή κατά 40 ευρώ) από την 1η του τρέχοντος μήνα και των φοροαπαλλαγών που εφαρμόζονται από την αρχή του έτους.

1 Για παράδειγμα υπάλληλος χωρίς θέση ευθύνης, πανεπιστημιακής εκπαίδευσης, με 2 τέκνα, με 20 χρόνια προϋπηρεσία από 1.232 καθαρά που έπαιρνε στο τέλος του 2025, με τον συνδυασμό των δύο αυξήσεων θα λάβει καθαρά 1.385 ευρώ, δηλαδή 153 ευρώ το μήνα ή 1.836 ευρώ περισσότερα το έτος.

2. Άλλος υπάλληλος χωρίς θέση ευθύνης, πανεπιστημιακής εκπαίδευσης, 25 ετών, χωρίς τέκνα, χωρίς προϋπηρεσία λάμβανε στο τέλος του 2025 896 ευρώ καθαρά, με τον συνδυασμό των αυξήσεων θα λαμβάνει 958 ευρώ καθαρά, δηλαδή 744 ευρώ επιπλέον το χρόνο.

3. Τμηματάρχης πανεπιστημιακής εκπαίδευσης, χωρίς τέκνα, με 20 χρόνια προϋπηρεσία λάμβανε το 2025 1.469 ευρώ καθαρά.
Το ετήσιο όφελος του 2026 σε σχέση με το 2025 ανέρχεται σε 472 ευρώ.

4. Υπάλληλος χωρίς θέση ευθύνης, τεχνολογικής εκπαίδευσης, με 2 τέκνα, με 20 χρόνια προϋπηρεσία, τον Δεκέμβριο του 2025 λάμβανε 1.807 μεικτά και 1.290 καθαρά.
Το ετήσιο όφελος του 2026 σε σχέση με το 2025 ανέρχεται σε 718 ευρώ.
Σύμφωνα με εγκύκλιο του υπουργείου Οικονομικών, η προσαύξηση των 40 ευρώ καταβάλλεται, με τον ίδιο τρόπο και στους βασικούς μισθούς σε όλα τα μισθολογικά κλιμάκια και δεν συμψηφίζεται με τυχόν καταβαλλόμενη προσωπική διαφορά.

Νέα ανώτατα όρια αποδοχών

Τα ποσά των ανώτατων ορίων αποδοχών και πρόσθετων απολαβών διαμορφώνονται από 01.04.2026, ως εξής:
1. Το ύψος του (γενικού) ανώτατου ορίου αποδοχών Γενικού Γραμματέα Υπουργείου, διαμορφώνεται σε 5.191 ευρώ.
2. Το ύψος του ανώτατου ορίου των Δικαστικών Λειτουργών και του κύριου προσωπικού του Ν.Σ.Κ διαμορφώνεται σε 8.846,40 ευρώ.
3. Το ύψος του ανώτατου ορίου των Ιατρών του Ε.Σ.Υ διαμορφώνεται σε 6.928 ευρώ.
4. Το ύψος του ανώτατου των στελεχών της Ελληνικής Αστυνομίας, του Πυροσβεστικού Σώματος και του Λιμενικού Σώματος-Ελληνικής Ακτοφυλακής διαμορφώνεται σε 6.530 ευρώ.
5. Το ύψος του ανώτατου ορίου των στελεχών των Ενόπλων Δυνάμεων διαμορφώνεται σε 7.390 ευρώ.
6. Το ύψος του ανώτατου ορίου μελών Δ.Ε.Π. των Α.Ε.Ι διαμορφώνεται σε 5.383,63 ευρώ.

Στιγμιότυπο_οθόνης_2026-04-05_181600.png
Στιγμιότυπο_οθόνης_2026-04-05_181701.png
Στιγμιότυπο_οθόνης_2026-04-05_181843.png

Στιγμιότυπο_οθόνης_2026-04-05_182016.png


Στιγμιότυπο_οθόνης_2026-04-05_182138.png

Στιγμιότυπο_οθόνης_2026-04-05_182247.png


Στιγμιότυπο_οθόνης_2026-04-05_182335.png
Στιγμιότυπο_οθόνης_2026-04-05_182441.png

Στιγμιότυπο_οθόνης_2026-04-05_182602.png

Στιγμιότυπο_οθόνης_2026-04-05_182721.png

Στιγμιότυπο_οθόνης_2026-04-05_182845.png

Στιγμιότυπο_οθόνης_2026-04-05_183007.png
Στιγμιότυπο_οθόνης_2026-04-05_183119.png
Στιγμιότυπο_οθόνης_2026-04-05_183119_1.png

Στιγμιότυπο_οθόνης_2026-04-05_183454.png

Στιγμιότυπο_οθόνης_2026-04-05_183541.png

Αντώνης Βασιλόπουλος
www.bankingnews.gr

Ρoή Ειδήσεων

Σχόλια αναγνωστών

Δείτε επίσης